什么叫有理数?什么又叫有理式?
的有关信息介绍如下:有理数是“数与代数”领域中的重要内容之一,在现实生活中有广泛的应用,是继续学习实数、代数式、方程、不等式、直角坐标系、函数、统计等数学内容以及相关学科知识的基础。
数学上,有理数是一个整数a和一个正整数b的比,例如3/8,通则为a/b。0也是有理数。有理数是整数和分数的集合,整数也可看做是分母为一的分数。有理数的小数部分是有限或为无限循环的数。不是有理数的实数称为无理数,即无理数的小数部分是无限不循环的数。
有理数集可以用大写黑正体符号Q代表。但Q并不表示有理数,有理数集与有理数是两个不同的概念。有理数集是元素为全体有理数的集合,而有理数则为有理数集中的所有元素。
有理式,包括分式和整式。这种代数式中对于字母只进行有限次加、减、乘、除和整数次乘方这些运算,它也可以化为两个多项式的商。例如2x + 2y等都是有理式。含有关于字母开方运算的代数式称为无理式。

扩展资料:
有理数集是整数集的扩张。在有理数集内,加法、减法、乘法、除法(除数不为零)4种运算通行无阻。
有理数的大小顺序的规定:如果
是正有理数,当
大于或小于
,记作
或
。任何两个不相等的有理数都可以比较大小。
有理数集与整数集的一个重要区别是,有理数集是稠密的,而整数集是密集的。将有理数依大小顺序排定后,任何两个有理数之间必定还存在其他的有理数,这就是稠密性。整数集没有这一特性,两个相邻的整数之间就没有其他的整数了。
有理数是实数的紧密子集:每个实数都有任意接近的有理数。一个相关的性质是,仅有理数可化为有限连分数。依照它们的序列,有理数具有一个序拓扑。有理数是实数的(稠密)子集,因此它同时具有一个子空间拓扑。
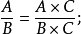
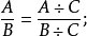
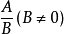
有关于多项式A,B的分式
,当
为多项式时,下列式子成立:
(1) 
(2) 
(3) 
(4) 
另外,关于多项式
下列式子也成立:
(1) 
(2) 
参考资料:百度百科---有理式
参考资料:百度百科---有理数



