计算概率的公式A(n,m)和C(n,m)如何计算?
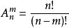
的有关信息介绍如下:A(n,m)=n*(n-1)*(n-2)……(n-m+1),也就是由n往下每个数连乘。
C(n,m)=A(n,m)/A(m,m)。一般地,从n个不同的元素中,任取m(m≤n)个元素为一组,叫作从n个不同元素中取出m个元素的一个组合。

扩展资料:
排列公式是建立一个模型,从n个不相同元素中取出m个排成一列(有序),第一个位置可以有n个选择,第二个位置可以有n-1个选择(已经有1个放在前一个位置),则同理可知第三个位置可以有n-2个选择,以此类推第m个位置可以有n-m+1个选择。
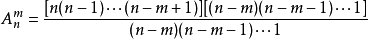
则排列数
由阶乘的定义可知
上下合并可得 
参考资料:百度百科——排列

