2,2'-偶氮双(2,4-二甲基戊腈)
的有关信息介绍如下:
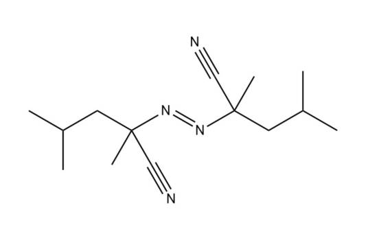
2,2'-偶氮双(2,4-二甲基戊腈),又名偶氮二异庚腈,是一种有机化合物,化学式为C14H24N4,为白色结晶性粉末,不溶于水,溶于醇、醚和二甲基甲酰胺等有机溶剂,主要用作聚氯乙烯、聚乙烯醇、有机玻璃等高分子聚合物的聚合引发剂,也用作塑料、橡胶的发泡剂。
想要了解更多“2,2'-偶氮双(2,4-二甲基戊腈)”的信息,请点击:2,2'-偶氮双(2,4-二甲基戊腈)百科

2,2'-偶氮双(2,4-二甲基戊腈),又名偶氮二异庚腈,是一种有机化合物,化学式为C14H24N4,为白色结晶性粉末,不溶于水,溶于醇、醚和二甲基甲酰胺等有机溶剂,主要用作聚氯乙烯、聚乙烯醇、有机玻璃等高分子聚合物的聚合引发剂,也用作塑料、橡胶的发泡剂。
想要了解更多“2,2'-偶氮双(2,4-二甲基戊腈)”的信息,请点击:2,2'-偶氮双(2,4-二甲基戊腈)百科