氨基磺酸镍
的有关信息介绍如下:
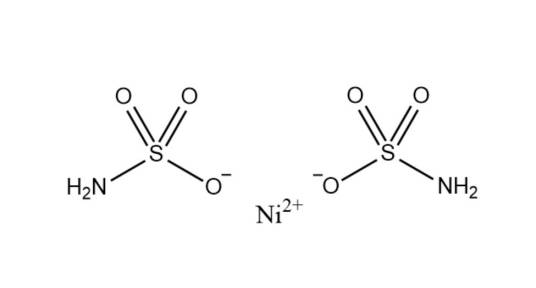
氨基磺酸镍,是一种无机化合物,化学式为Ni(SO3NH2)2,主要用于精密镀镍,具有镀层的内应力低,沉积速度快的优点。
2017年10月27日,世界卫生组织国际癌症研究机构公布的致癌物清单初步整理参考,镍化合物在1类致癌物清单中。
想要了解更多“氨基磺酸镍”的信息,请点击:氨基磺酸镍百科

氨基磺酸镍,是一种无机化合物,化学式为Ni(SO3NH2)2,主要用于精密镀镍,具有镀层的内应力低,沉积速度快的优点。
2017年10月27日,世界卫生组织国际癌症研究机构公布的致癌物清单初步整理参考,镍化合物在1类致癌物清单中。
想要了解更多“氨基磺酸镍”的信息,请点击:氨基磺酸镍百科