定积分与不定积分的区别和联系如题
的有关信息介绍如下:1、不定积分计算的是原函数(得出的结果是一个式子),定积分计算的是具体的数值(得出的借给是一个具体的数字)。
2、不定积分是微分的逆运算,而定积分是建立在不定积分的基础上把值代进去相减积分。积分,时一个积累起来的分数,现在网上,有很多的积分活动。象各种电子邮箱,qq等。在微积分中,积分是微分的逆运算,即知道了函数的导函数,反求原函数。

3、在应用上,积分作用不仅如此,它被大量应用于求和,通俗的说是求曲边三角形的面积,这巧妙的求解方法是积分特殊的性质决定的。一个函数的不定积分(亦称原函数)指另一族函数,这一族函数的导函数恰为前一函数。
4、定积分与不定积分的运算法则相同,并且积分公式,计算方法也相同。从牛顿-莱布尼茨公式看出,定积分与不定积分联系紧密,相互转换共用。
扩展资料:
定积分定义:设函数f(x) 在区间[a,b]上连续,将区间[a,b]分成n个子区间[x0,x1], (x1,x2], (x2,x3], …, (xn-1,xn],其中x0=a,xn=b。
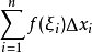
可知各区间的长度依次是:△x1=x1-x0,在每个子区间(xi-1,xi]中任取一点ξi(1,2,...,n),作和式

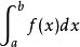
该和式叫做积分和,设λ=max{△x1, △x2, …, △xn}(即λ是最大的区间长度),如果当λ→0时,积分和的极限存在,则这个极限叫做函数f(x) 在区间[a,b]的定积分,记为

并称函数f(x)在区间[a,b]上可积。[2] 其中:a叫做积分下限,b叫做积分上限,区间[a, b]叫做积分区间,函数f(x)叫做被积函数,x叫做积分变量,f(x)dx 叫做被积表达式,∫ 叫做积分号。



