相对偏差计算公式
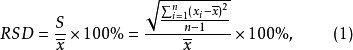
的有关信息介绍如下:相对标准偏差
的计算公式如下:

其中
为标准偏差(也可以表示为
),
相应的平均值 。
公式:平均偏差除以平均数(注意最后求出的是百分数)
用途:常用于分析化学的定量实验。
举例:
在一次实验中得到的测定值: 0.0105 mol/l、 0.0103 mol/l 和 0.0105 mol/l
则相对平均偏差的求算:三个数总和为0.0313,平均值为0.0104,分别用平均值减去原值后取其绝对值,然后相加,得到值为0.0003,再用0.0003除以取样次数3,得到平均偏差0.0001,再用0.0001除以平均值0.0104,得到相对平均偏差为0.96154%
扩展资料:
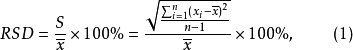
相对标准偏差
的计算公式如下:

其中
为标准偏差(也可以表示为
),
相应的平均值 。
平均值
在日常的检验检测工作中,检测结果是否准确并不确定,但可以通过多次测量的方法来得出一个准确的结果,所测量数据的算术平均值就能代表总体的平均水平。设:对一个样品重复测定n次,测定值分别为
,则有限次测量数据的算术平均值用
表示,计算公式如式(2):
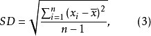
标准偏差
在实际测定中,如果使用标准偏差,则能反映检测结果的精密程度。对一个样品做有限次测量,这时测定的标准偏差
(或
)用公式(3)计算:
即各个测量数据偏差的平方和除以数据个数减1的平方根。由于式中对单个数据偏差平方后,较大的偏差更能突出地反映出来,所以标准偏差能更好地说明数据的离散程度,在实际使用中更加常见。
参考资料:百度百科-相对标准偏差



