您的位置首页百科知识

圆的一般方程的半径公式

圆的一般方程的半径公式

的有关信息介绍如下:

圆的一般方程的半径公式为:r= 圆的一般方程的半径公式

推导过程

由圆的标准方程圆的一般方程的半径公式 的左边展开,整理得 圆的一般方程的半径公式 

在这个方程中,如果令 圆的一般方程的半径公式 ,

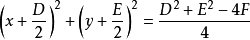
则这个方程可以表示成 圆的一般方程的半径公式 

将之配平得到圆的一般方程的半径公式

与原方程圆的一般方程的半径公式相比较,

得到r= 圆的一般方程的半径公式

参考资料:圆的一般方程_百度百科