肌酸酐
的有关信息介绍如下:
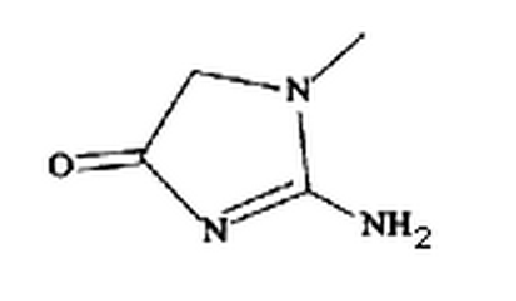
别名名称:2-Amino-1-methyl-2-imidazolin-4-one 2-Imino-1-methylimidazolidin-4-one 2-Imino-N-methylhydantoin,生化研究。用于鉴定血液中的肌酸酐。本品应密封于干燥处保存。
想要了解更多“肌酸酐”的信息,请点击:肌酸酐百科

别名名称:2-Amino-1-methyl-2-imidazolin-4-one 2-Imino-1-methylimidazolidin-4-one 2-Imino-N-methylhydantoin,生化研究。用于鉴定血液中的肌酸酐。本品应密封于干燥处保存。
想要了解更多“肌酸酐”的信息,请点击:肌酸酐百科