强大数定律
的有关信息介绍如下:
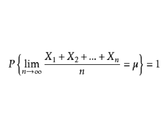
第一条强大数定律(strong law of large numbers)是由波莱尔在1909年对伯努利试验场合验证的,给出了几乎处处收敛的随机变量列的性质。强大数定律主要包括波莱尔强大数定律、柯尔莫哥洛夫强大数定律等。 强大数定律首先由法国数学家Borel对于伯努利随机变量的特殊情况进行证明,一般情形下的强大数定律的证明由俄国数学家柯尔莫哥洛夫(A.N.Kolmogorov)给出。
想要了解更多“强大数定律”的信息,请点击:强大数定律百科

第一条强大数定律(strong law of large numbers)是由波莱尔在1909年对伯努利试验场合验证的,给出了几乎处处收敛的随机变量列的性质。强大数定律主要包括波莱尔强大数定律、柯尔莫哥洛夫强大数定律等。 强大数定律首先由法国数学家Borel对于伯努利随机变量的特殊情况进行证明,一般情形下的强大数定律的证明由俄国数学家柯尔莫哥洛夫(A.N.Kolmogorov)给出。
想要了解更多“强大数定律”的信息,请点击:强大数定律百科