网站首页
百科知识
百科问答
生活百科
导航
搜索
收起
搜索
您的位置
首页
百科问答
三角形内心的向量形式
Simone
发布于 2026-02-13 00:45:11
854 阅读
三角形内心的向量形式
的有关信息介绍如下:
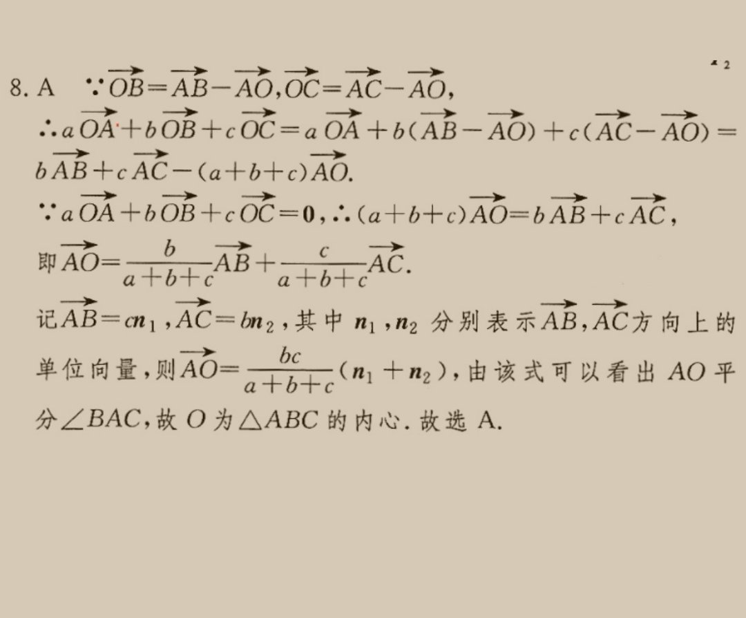
简单分析一下,答案如图所示
相关文章
俪仙
2025-11-12 23:18
阅读(32568)
杨晓辉(北京市丰台区委教工委副书记、丰台区教委主任、丰台区人民政府教育督导室主任)
2025-10-02 14:02
阅读(31733)
梅丽莎·劳伦
2025-09-17 10:40
阅读(12370)
1
肖春红(贵州宏立城集团董事长、贵州省工商联副主席)
11478 阅读
2
张洪彬(吉林省教育厅党组书记、厅长)
9312 阅读
3
山上有座尼姑庵
3758 阅读
4
禹王槊
1232 阅读
5
欧洛布穷
1220 阅读