您的位置首页百科问答

平均值是什么?

平均值是什么?

的有关信息介绍如下:

平均值是什么?

平均值有算术平均值,几何平均值,平方平均值(均方根平均值,rms),调和平均值,加权平均值等

其中以算术平均值最为常见。

①最为常见的算术平均值的计算方法为:

平均值是什么?

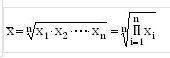
②几何平均值的计算方法为:

平均值是什么?

值得注意的是,几何平均值是相对于正数而言的,也就是说上面的X1,X2,..Xn必须是正数。

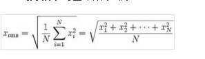
③均方根平均值计算方法为:

平均值是什么?

④调和平均值计算方法为: N/(1/x1+1/x2+...+1/xn)

⑤加权平均值算法为:

平均值是什么?