奇数点有几个怎么判断?
的有关信息介绍如下:如果图形中全是偶数点,可从任意一点出发,一笔画回到起点。如果图形中有两个奇数点,只能从一点奇数点出发,一笔画回到另一个奇数点。奇数点再多就不能一笔画了。
奇数点就是从该点出发有奇数条线,如果这个图形奇数点多于两个,那么就不可能一笔画,而且不存在只有一个奇数点的图形。
在整数中,不能被2整除的数叫做奇数。日常生活中,人们通常把奇数叫做单数,它跟偶数是相对的。 奇数可以分为正奇数和负奇数。奇数的数学表达形式为: 
正奇数:1、3、5、7、9、11、13、15、17、19、21、23、25、27、29、31、33.........
负奇数:-1、-3、-5、-7、-9、-11、-13、-15、-17、-19、-21、-23.-25、-27、-29、-31、-33.........

扩展资料:
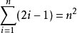
数列:1,3,5,7,9,…… ,2n-1,... 称为奇数列,通项公式为
。
它有一个优美的性质:n取任何正整数时,它的前n项和均是一个完全平方数,即 
奇数列也可从另一角度进行表述:若
,
,当
时,都有
,则数列
为奇数列。
关于奇数和偶数,有下面的性质:
(1)两个连续整数中必有一个奇数和一个偶数;
(2)奇数+奇数=偶数;偶数+奇数=奇数;偶数+偶数+...+偶数=偶数;
(3)奇数-奇数=偶数;偶数-奇数=奇数;奇数-偶数=奇数;
(4)若a、b为整数,则a+b与a-b有相同的奇偶性,即a+b与a-b同为奇数或同为偶数;
(5)n个奇数的乘积是奇数,n个偶数的乘积是偶数;算式中有一个是偶数,则乘积是偶数;
(6)奇数的个位是1、3、5、7、9;偶数的个位是0、2、4、6、8;
(7)奇数的平方除以2、4、8余1;
(8) 任意两个奇数的平方差是2、4、8的倍数;
(9)奇数除以2余数为1。
参考资料:百度百科---奇数



