开根号如何计算
的有关信息介绍如下:解题
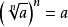
形如
的式子叫做二次根式。在此,我们要特别注意二次根式定义中被开方数的限制条件a大于等于零。对于一些与二次根式有关的问题,从被开方数入手,常可找到解题的捷径。
例1,在实数范围内,代数式
的值为:?
因为
大于等于零,所以
小于等于零,又因为被开方数为非负数,所以
=0,所以上式为1.
计算公式

成立条件:a≥0,n≥2且n∈N。

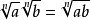
成立条件:a≥0, b≥0, n≥2且n∈N。

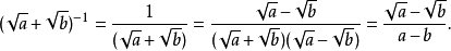
成立条件:a≥0,b>0,n≥2且n∈N。

成立条件:a≥0,b>0,n≥2且n∈N。
不尽根数
经常简单的留着数的n次方根不解(就是留着根号)。这些未解的表达式叫做“不尽根数”(surd),它们可以接着被处理为更简单的形式或被安排相互除。
如下恒等式是操纵不尽根数的基本技术:




无穷级数
方根可以表示为无穷级数:




