您的位置首页百科问答

戈登股利增长模型

戈登股利增长模型

的有关信息介绍如下:

戈登股利增长模型

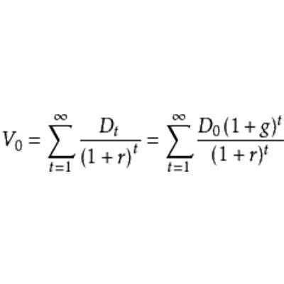
戈登股利增长模型又称为“股利贴息不变增长模型”、“戈登模型(Gordon Model)”,在大多数理财学和投资学方面的教材中,戈登模型是一个被广泛接受和运用的股票估价模型。它揭示了股票价格、预期基期股息、贴现率和股息固定增长率之间的关系,用公式表示为:股票理论价格V=D0(1+g)/(r-g)=D1/(r-g)。

想要了解更多“戈登股利增长模型”的信息,请点击:戈登股利增长模型百科