乙酰丙酮铁
的有关信息介绍如下:
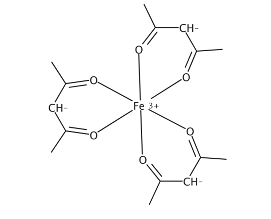
乙酰丙酮铁(英文名:Iron acetylacetonate),一种化学物质,分子式为Fe(C5H7O2)3,分子量为353.17,红橙色斜方晶系结晶。溶解性:微溶于水和庚烷,易溶于乙醇、苯、氯仿、丙酮和乙醚。25℃时的溶解度:水0.16、甲醇9.5、甲苯21.3、苯52.5。可用作树脂交联剂合固化促进剂;橡胶添加剂;石油裂解催化剂;燃料油添加剂,可改善润滑性和燃烧性;有机合成催化剂。也可用在玻璃、陶瓷着色。
想要了解更多“乙酰丙酮铁”的信息,请点击:乙酰丙酮铁百科



