克拉霉素
的有关信息介绍如下:
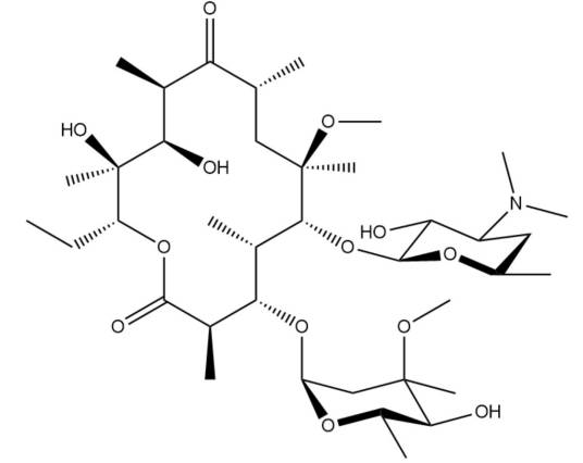
克拉霉素,是一种有机化合物,化学式为C38H69NO13,是一种大环内酯类抗生素,属红霉素的衍生物。
20世纪90年代初由日本大正公司开发成功,并以商品名Clarith注册。尔后,大正公司首先将其技术转让给美国雅培公司生产。1990年在爱尔兰、意大利上市,1991年10月获FDA批准定为IB类新药上市,商品名Biaxin,1993年以Klacid在中国香港上市,在欧洲和亚洲的商品名为克拉仙,已在全球50多个国家上市,市场用量稳步增长,并在临床中发挥了重要作用。克拉霉素及其片剂、目前生产的剂型还有颗粒剂、分散片、缓释片、注射剂和干混悬剂。
想要了解更多“克拉霉素”的信息,请点击:克拉霉素百科



